祝贺!苏翊鸣保送清华大学
2023-06-16 11:38

订阅
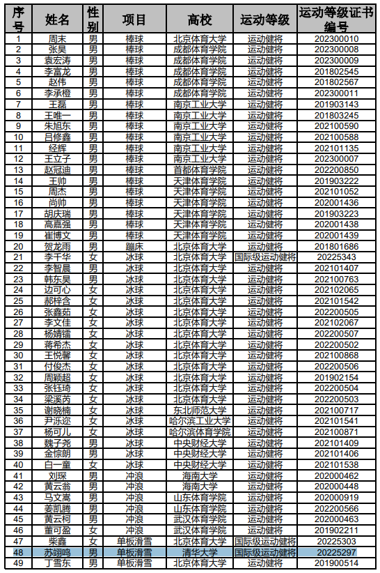
新京报讯 6月15日,国家体育总局科教司发布关于2023年优秀运动员本科保送推荐名单的公示,公示时间为2023年6月15日至21日。共有820名运动员通过审核,获得保送上大学的推荐资格。其中,北京冬奥会冠军、单板滑雪运动员苏翊鸣保送推荐清华大学。
2023年优秀运动员本科保送推荐名单(部分)

编辑 王春秋

国家体育总局为苏翊鸣教练佐藤康弘颁发证书





