苏翊鸣回应拟被保送清华大学,称“18岁愿望全部实现了”
2023-06-16 17:17

订阅

“有目标就大胆去尝试,付出自己的一切,努力永远不会欺骗自己。”
6月15日,国家体育总局科教司发布关于2023年优秀运动员本科保送推荐名单的公示,名单显示,单板滑雪运动员苏翊鸣拟保送至清华大学。16日上午,苏翊鸣发文称,“两年前许下的关于18岁的三个愿望,今天终于全部实现了!”

6月16日上午苏翊鸣发微博感谢清华大学给予的深造机会。新浪微博截图
17岁时许愿“拿到理想大学录取通知”
公开资料显示,苏翊鸣4岁接触单板滑雪,为滑雪可以不睡懒觉、提前完成功课,有冻疮也坚持上山。他可以每天练一个动作6小时,一直重复练。他说“有目标就大胆去尝试,付出自己的一切,努力永远不会欺骗自己。”
17岁时,苏翊鸣曾在接受采访时提到他18岁的三个愿望,第一个愿望是,获取参加冬奥会的资格,在自己的祖国参加2022年的冬奥会。第二个愿望是,站在领奖台上获得第一名,为国家争光,在领奖台上让国歌奏起。第三个愿望是拿到理想大学录取通知书。
在2022年北京冬奥会上,苏翊鸣夺得一金一银,成为中国历史上最年轻的冬奥会冠军,同时也是中国首个单板滑雪冬奥冠军。2022年2月22日,苏翊鸣在微博流露出对报考清华大学的兴趣,清华大学官微随即互动回应:“欢迎大家报考清华大学!我在清华大学等你来!”

体育总局科教司的公示文件。国家体育总局官网截图
“在接下来的四年里更加努力”
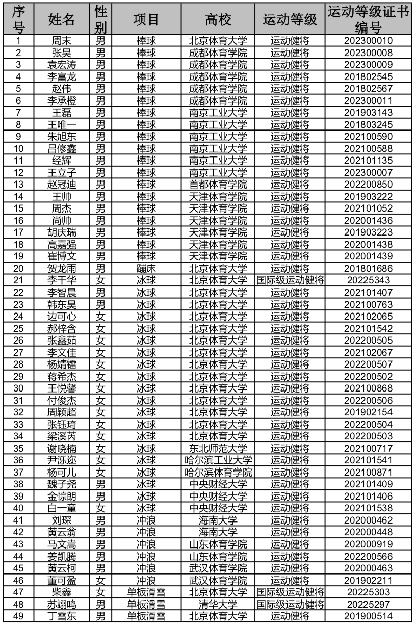
国家体育总局科教司发文称,经相关招生院校、省级体育行政部门、体育总局运动项目管理中心、全国性体育社会组织、省级招生考试机构等审核,共有820名运动员通过审核,获得保送上大学的推荐资格。公示时间为2023年6月15日至21日。
而苏翊鸣的名字就在2023年优秀运动员本科保送推荐名单上,项目为单板滑雪,运动等级为“国际级运动健将”,保送高校为清华大学。

苏翊鸣出现在2023年优秀运动员本科保送推荐名单上。国家体育总局官网截图
6月16日上午,苏翊鸣在微博发文称:“两年前许下的关于18岁的三个愿望,今天终于全部实现了!感谢@清华大学给我学习深造的机会,我知道自己还有许多不足,会在接下来的四年里更加努力,不负期望。”
在感恩自己得到最好的教育机会的同时,苏翊鸣表示也想要帮助更多偏远地区的青少年获得更好的教育资源。“从今天起,我正式发起【爱心接力·高原筑梦】公益倡议,希望和大家一起将自己闲置的运动器材及文具用品,寄送给青海省果洛藏族自治州的孩子们。我准备了两块自己用过的雪板,希望能和大家一起为果洛的孩子们献上一份爱心。”
“我在清华等你来!”随后,清华大学官方微博@苏翊鸣并喊话,配图为上述公示名单。

苏翊鸣发起公益行动。新浪微博截图
新京报记者 冯琪
编辑 缪晨霞 校对 卢茜
来阅读我的更多文章吧
冯琪
新京报记者
记者主页
